MENÚ HORIZONTALES
- PÁGINA INICIAL
- MATEMÁTICAS 1º ESO
- MATEMÁTICAS 2º ESO
- MATEMÁTICAS 3º ESO ACADÉMICAS
- MATEMÁTICAS 3º ESO APLICADAS
- MATEMÁTICAS 4º ESO ACADÉMICAS
- MATEMÁTICAS 4º ESO APLICADAS
- MATEMÁTICAS 1º BACHILLERATO CT
- MATEMÁTICAS 1º BACHILLERATO CS
- MATEMÁTICAS 2º BACHILLERATO CT
- MATEMÁTICAS 2º BACHILLERATO CS
- PÁGINA PRINCIPAL
sábado, 14 de agosto de 2021
Suscribirse a:
Enviar comentarios (Atom)
-
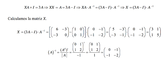
1.- FÓRMULAS Y DEMOSTRACIÓN. Demostración: 2.- EJEMPLOS DE CÓMO SE APLICAN. EJEMPLO 1: EJEMPLO 2: EJEMPLO 3: ...










No hay comentarios:
Publicar un comentario